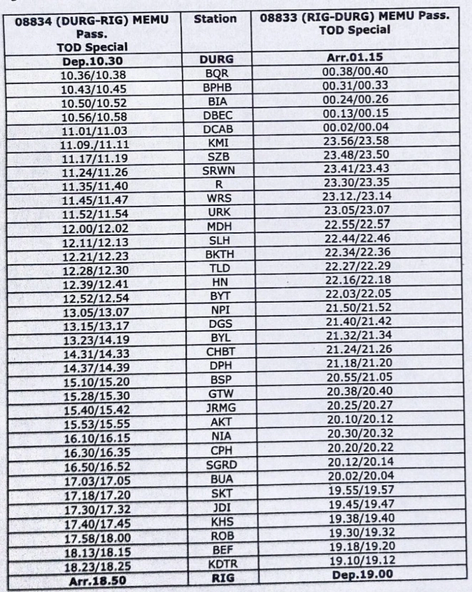
रक्षाबंधन के अवसर पर यात्रियों की सुविधा के लिए दिनांक 09 एवं 10 अगस्त 2025 को दुर्ग – रायगढ़ – दुर्ग के मध्य दो फेरे के लिए रक्षाबंधन स्पेशल मेमू ट्रेन की सुविधा

रायपुर – 08 अगस्त, 2025- दक्षिण पूर्व मध्य रेलवे रायपुर रेल मंडल में रक्षाबंधन के अवसर पर यात्रियों की सुविधा के लिए दिनांक 09 एवं 10 अगस्त 2025 को गाड़ी संख्या 08834/08833 दुर्ग – रायगढ़ – दुर्ग के मध्य दो फेरे के लिए रक्षाबंधन स्पेशल मेमू ट्रेन की सुविधा दी जा रही हैं । गाड़ी संख्या 08834 दुर्ग रायगढ़ मेमू पैसेंजर गाड़ी दुर्ग से 10:30 बजे रवाना होकर 10:36 बजे भिलाई नगर 10.43 बजे भिलाई पावर हाउस 10:50 बजे भिलाई 10.56 बजे देवबलोदा चरोदा, 11:09बजे कुम्हारी, 11:17 बजे सरोना 11.24 बजे सरस्वती नगर, 11.35 बजे रायपुर 11:45 बजे डब्ल्यूआरएस, 11:52 बजे उरकुरा, 12:00 मांडर,12:11 बजे सिलियारी, 12.21 बजे बैकुंठ 12:28 बजे तिल्दा नेवरा, 12.39 बजे हथबंद, 12:52 बजे भाटापारा, 13.05 बजे निपानिया, 13.15 बजे दागोरी, 13.23 बजे बिल्हा, 14.31 बजे चक्करभाटा 14.37 बजे दाधापारा,15.10 बजे बिलासपुर, 15.28 बजे गतौरा, 15:40 बजे जयरामनगर, 15.53 बजे अकलतरा, 16:10 बजे जांजगीर नैला, 16:30 बजे चांपा, 16:50 सारागांव देवरी, 17:03 बजे बुढार, 17.18 बजे सक्ती, 17:30 जारडीह, 17.40 बजे खरसिया, 17.58 बजे रॉबर्टसन, 18: 13 बजे भूपदेवपुर, 18.23 बजे किरोड़ीमल नगर, 18:50 बजे रायगढ़। दिनांक 09 एवं 10 अगस्त 2025 को वापसी में गाड़ी संख्या 08833 रायगढ़ दुर्ग मेमू पैसेंजर रायगढ़ से 19:00 रवाना होकर उपरोक्त सभी स्टेशनों पर रुकते हुए बिलासपुर 20.55 बजे एवं रायपुर 23:30 बजे और दुर्ग अगले दिन 01.15 बजे पहुंचेगी।




